Teknolojinin yanı sıra geçmişten günümüzde kadar olan süreçte de günlük hayatımıza olan etkisi büyük. Günümüzde tarımsal alanların planlanmasından uzay istasyonlarının yörüngelerine kadar geniş bir kullanım alanına sahip. Biz de sizler için popüler olan 10 analitik geometri formülünü listeledik.
Analitik Geometri Formülleri:
- Doğrunun eğimi
- Doğru ile nokta arasındaki dik uzaklık
- Eksenleri kestiği noktaları belli olan doğrunun denklemi
- Doğru Demeti
- Kesişen iki doğru arasındaki açı
- Analitik bir yapıyı döndürme ve öteleme
- Dörtgenin alanı
- Üçgenin alanı
- Homojen düzlemsel bir cismin ağırlık merkezi
- Genel konik denklemi
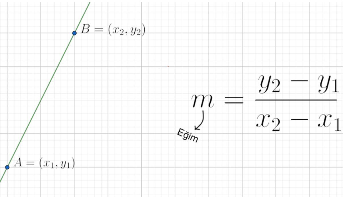
Doğrunun eğimi:

Bir doğrunun eğimi, doğrunun yataylığını ve aynı zamanda değer değişimini ifade eder.
Doğru ile nokta arasındaki dik uzaklık:

Matematikte, uzaklık birden fazla şekilde tanımlanabilir. Bu karmaşayı engellemek için dik uzaklık kullanılır. İki nokta arasındaki uzaklıktan türetilebilen bu formül yukarıdaki gibi ifade edilir.
Eksenleri kestiği noktaları belli olan doğrunun denklemi:

Bir doğruyu analitik düzlemde ifade etmek için bazı verilere ihtiyacımız var. Eğer eksenlerin kestiği noktaları bilirsek doğruyu yukarıdaki gibi ifade edebiliriz.
Doğru Demeti:

Bir noktada kesişen n tane doğrunun formülünü bilirsek, o noktadan geçen sonsuz tane doğru bulmamız mümkün olur.
Kesişen iki doğru arasındaki açı:

Birçok geometrik şekli yorumlamamız sağlayan şeylerden biri de açılardır. Burada da pek çok geometrik şeklin temelini görüyoruz.
Analitik bir yapıyı döndürme ve öteleme:

Analitik bir düzlemde ifade edebildiğimiz herhangi bir şeyi istediğimiz yere öteleyebilir ve istediğimiz dereceyle döndürebiliriz.
Dörtgenin alanı:

Özellikle, arazi ölçümleri ve tarımsal alanların tasarlanmasında sık sık alan hesaplarından faydalanılır. Geçmiş uygarlıklarda verimli ekin yapmak için kullanıldığı da görülmüştür.
Üçgenin alanı:

Matematikte bazı operatörleri farklı amaçlarla da kullanabiliriz, üç köşesi verilen bir üçgenin alanını da multi-lineer bir fonksiyon olan determinant ile yukarıdaki gibi hesaplayabiliriz.
Homojen düzlemsel bir cismin ağırlık merkezi:

Herhangi n sayıda parçadan oluşan homojen düzlemsel bir cismin, seçilen bir eksen takımına göre ağırlık merkezi yeri olan (X, Y) noktası yukarıdaki bağıntılar ile hesaplanabilir.
Genel konik denklemi:

Parabol, çember, elips ve hiperbol gibi konik yapılar aslında bir koninin kesitleridir. Yukarıdaki formül ile bütün bu konik yapıları ifade edebiliriz.
