Matematik yaygın bilinenin aksine yalnızca soyut ve çözmesi zor problemlerden oluşmuyor. Bu bilim dalı, aslında hayatımızın çoğu yerinde bizimle birlikte ve hesaplanmasının mümkün olmadığını düşündüğümüz konularda bile öngörüleriyle bizi aydınlatabiliyor.
Bu bağlamda aşkın matematiğinin ne şekilde işlediğine ve matematiğin, bu anlamda bize nasıl yardımcı olduğuna bakalım.
Uzun süredir bekar bir matematikçi olan Peter Backus, “Neden Bir Kız Arkadaşım Yok” başlıklı bir makale kaleme alır.

Backus’un bu çalışması, adını yaratıcısı Frank Drake’ten alır ve Drake denkleminden faydalanarak oluşturulur. Gökbilimci Frank Drake, 1961’de evren içerisinde yalnız olup olmadığımızı anlayabilmemiz için bir tür düşünce deneyi gerçekleştirmişti. Drake, evrendeki teknolojik anlamda gelişmiş uygarlıkların sayısının, yedi değişkenin bir ürünü olacağını öne sürmüş ve denklemini bu bağlamda oluşturmuştu.
Backus da bu fikirden yola çıktı ve çalışmasının sonunda galaksideki uyarlık sayısının, onun potansiyel kız arkadaşı sayısından daha fazla olduğunu hesapladı çünkü İngiltere’deki 30 milyon kadın içinde yalnızca 26 tanesi ile sevgili olabileceğini tespit etmişti.
Bu durumda olasılık "milyonda bir" kadardı.
Tabii ki tam anlamıyla kaç tane uzaylı yaşam formu olduğunu hesaplamanın mümkün olmadığı gibi kesin olarak kaç potansiyel partnerimizin olabileceğini hesaplamak da mümkün değil fakat yine de bu sayılar net bir şekilde tespit edilemese de tahminde bulunabilme gücü, bir bilim insanı için oldukça değerli.
Backus, bu çalışmadan önce, aradığı insana dair kendince bir takım kriterler belirledi ve ardından bu ölçütleri tıpkı Drake gibi 7’ye indirdi. Böylelikle soruna bir bütün olarak bakmaktan ziyade parçalar üzerinden giderek cevap verebilecekti.
Gelelim Backus’un kendi partnerini bulabilmek için belirlediği 7 kritere:
- Yakınımda yaşayan kaç kadın var? (Londra’da -> 4 milyon kadın)
- Kaç kişi doğru yaş aralığında olabilir? (%20 -> 800.000 kadın)
- Kaçının bekar olma ihtimali var? (%50 -> 400.000 kadın)
- Kaçının üniversite diplomasına sahip olma olasılığı var? (% 26 -> 104.000 kadın)
- Kaçı bana çekici gelebilir? (%5 -> 5.200 kadın)
- Kaçı beni çekici bulabilir? (%5 -> 260 kadın)
- Kaç tanesiyle iyi anlaşabilirim? (%10 -> 26 kadın)
Bu arada belirtmek gerekir ki Backus İngiltere’de yaşıyordu ve ölçütlerinin bazılarını yaşadığı coğrafyaya göre belirlemişti. Elbette biz de bu kriterleri Türkiye odaklı düşünebiliriz.
Backus elbette bu kadar seçici olmasaydı ve ölçütlerinden bazılarının sınırlarını biraz daha genişletseydi bu sayı artabilirdi.
Örneğin aradığı kadını yalnızca Londra’da değil de dünyanın başka ülkelerinde de bulabilme gibi bir isteği olsaydı, şansı anında birkaç katına çıkabilirdi. Yine gelecekteki aşkının üniversite mezunu olmasına takılmayıp, bu sınırı biraz daha genişletseydi de elde ettiği oranda bir hayli yükseliş olacaktı.
Aslında uzayıp gitmesi daha da mümkün olan böyle bir liste oluşturmak, bir nebze imkansıza meydan okumaktan farksız. Bunun yerine gerçekten olmazsa olmaz birkaç kriter belirleyip, yalnızca onlarla sınırlı kalmak ve bunun yanında çevremizdekilere istedikleri şansı bir kez olsun vermek aradığımız doğru insanı bulma noktasında yardımcı olabilir.
Aşkın matematiğini ele aldığımız bir diğer çalışmada ise matematikçiler, bir ilişkinin sürüp sürmemesini matematiksel anlamda hesaplamaya çalıştı.
Elbette her ilişkide mutlaka çatışmalar vardır fakat bu problemlerle doğru bir şekilde başa çıkmak için, bazı araçlara ihtiyaç duyarız. Bu noktada ilişkilerde ortaya çıkan matematiksel kalıplar bazı öngörüler verebilir.
Örneğin psikolog John Gottman ve ekibi bir çalışmasında, birkaç on yıl boyunca neredeyse yüzlerce çiftin ileşimini gözlemledi. Bu kişilerin yüz ifadeleri, kan basınçları ve kalp atış hızları gibi tespit edebildikleri tüm değerleri ölçüldü.
Ardından Gottman ve ekibi bir puanlama sistemi ile bu çiftlerin yaklaşık %90’a varan bir doğruluk payıyla ayrılıp ayrılmayacaklarını önceden tahmin edebildiklerini ortaya koydu. Tüm bu çalışmalara arkasından matematikçi James Murray dahil oldu ve tüm bu bilgileri analiz ederek bir matematiksel model elde etti.
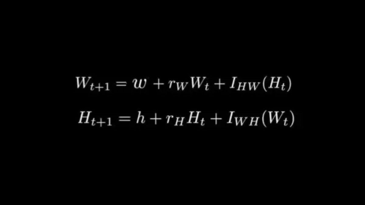
Matematikçi, bir ilişkinin akıbetini kendince bu iki denklemle özetleme yoluna gitti.

Bu denklemler ilk etapta anlamsız gibi görünse de aslında çiftlerin birbirleriyle olan konuşmalarının bir sonraki aşamada ne denli olumlu veya olumsuz olacağını tahmin etme anlamında bir kurallar bütününü ifade etmekte. Üst satır kadını için oluşturulurken, alt satır da erkekleri temsil eder.
İlk denklemin sol taraftan başlayan kısmı, kadının bir sonraki söyleyeceği kelimelerin ne kadar olumlu veya olumsuz olacağıdır. Kadının tepkisi genel anlamda ruh haline (w), eşiyle birlikteyken ait hissettiği ruh haline (rwWt) ve son olarak en belirgin ölçüt olarak eşinin eylemlerinin onun üzerindeki etkisine (IHM) bağlıdır.
Denklemin sonundaki Ht de bu etkinin bir bakıma eşinin az önce ne yaptığına bağlı olduğunu ifade etmenin matematiksel kısaltmasıdır. Aynı mantık, alt satırda erkek için tanımlanır.
Aslında ilişkinin devam etme süresi iki partnerin birbirini nasıl etkilediğine bağlıdır ve bu bağlamda Gottman ve Murray’in denklemlerindeki en belirgin unsur, etki terimidir.

Bir erkeğin (Ht), eşi (IHM) üzerindeki etkisi kılavuz olarak alındığında ve bu denklemin yüksek değerlerle sonuçlandığı her durumda, ikili arasında olumlu bir etkileşim bulunduğu görülür. Fakat bu değer sıfırın altına düşerse, eşin konuşmadaki bir sonraki sözünün olumsuz olma ihtimali daha yüksektir.
Konuyu kadın açısından da değerlendirelim ve erkeğin tartışma sırasında olumlu davranışlar sergilediği varsayalım. Örneğin eşinin sözünü onaylaması ya da ortamın gerginliğini dağıtmak için espri yapması gibi. Bu eylem, kadın üzerinde küçük de olsa olumlu bir etki yaratacak ve karşısındakine daha pozitif cevap verme ihtimalini arttıracaktır.
Eğer erkek tam da tartışma esnasında, eşine onu sevdiğini söylemek gibi bir yaklaşımda bulunursa da T+ noktasına ulaşılır. Bu dakikadan sonra, çiftin arasındaki tartışmanın tatlıya bağlandığını görmek olası olacaktır.

Aksine erkek iletişim esnasında eşinin sözünü kesmek gibi olumsuz bir tavır sergilediğinde ise bu durumun, eşi üzerinde sabit ve olumsuz bir etkisi olacaktır. Bu gidişatta da çift, nihayetinde “olumsuzluk eşiği” olarak adlandırılan noktaya ulaşması oldukça yüksek bir ihtimaldir.
En başarısız ilişkilerdeki olumsuzluk eşiklerinin ciddi anlamda yüksek olduğunu söylemek mümkün olur. Bu ilişkilerde çiftler birbirine tahammülsüzdür ve aralarındaki en küçük problemi bile çözüme kavuşturamazlar.

Aşk ilişkilerini matematik bağlamında ele almak, bize kimi zaman neden yalnız olduğumuzun cevabını verebilirken; bazen de ilişkimizdeki gidişatı sağlam temellerle devam ettirme noktasında oldukça yardımcı olabilir. Eğer siz de bu sorunun cevabını arıyorsanız, matematiğe bir danışın deriz.
Kaynaklar: Insider, The Marginalian, Medium




