Biz bilelim ya da bilmeyelim, günlük hayatta kullanalım ya da kullanmayalım her tür enerji türünün hesaplanması için fizikçiler tarafından belirlenmiş bir ölçü sistemi vardır. Evimize kadar gelen pek çok teknoloji, fizikçiler tarafından belirlenmiş ölçü sistemleri sayesinde kontrol edilebiliyor. Bunlardan biri, belki de en önemlisi de amperdir. En önemlisi olma ihtimali yüksek çünkü kullandığımız her şeyin temelinde elektrik var.
Peki amper nedir, amper hesaplama nasıl yapılır? Bir akım ölçü birimi olan amper hesaplama işlemi için yine fizikçiler tarafından belirlenmiş olan temel formüller var. Farklı akım türleri için kullanılan farklı formüller sayesinde amper hesaplama işlemi yapmak mümkün. Biraz karmaşık gibi görünse bile temel verileri bildikten ve formüle doğru yerleştirdikten sonra işlem sonucuna kolayca ulaşabilirsiniz.

Amper nedir?
18. yüzyılda Fransız fizikçi Andre Marie Ampere’in isim babası olduğu amper; bir elektrik sistemindeki elektron akışını ve akım oranını temsil eden bir ölçü birimidir. Bir amper, bir noktadan bir saniyede geçen elektrik akımını gösteriyor. Geleneksel ya da Franklin akımı olarak isimlendirilen sistemde, fizikçilere göre bu enerji olumlu ortamdan olumsuz ortama akıyor.
Amper hesaplama nasıl yapılır?
- Yöntem #1: DC watt amper hesaplama
- Yöntem #2: AC tek fazlı watt amper hesaplama
- Yöntem #3: AC üç fazlı watt hattan hatta amper hesaplama
- Yöntem #4: AC üç fazlı watt hattan nötr gerilime amper hesaplama
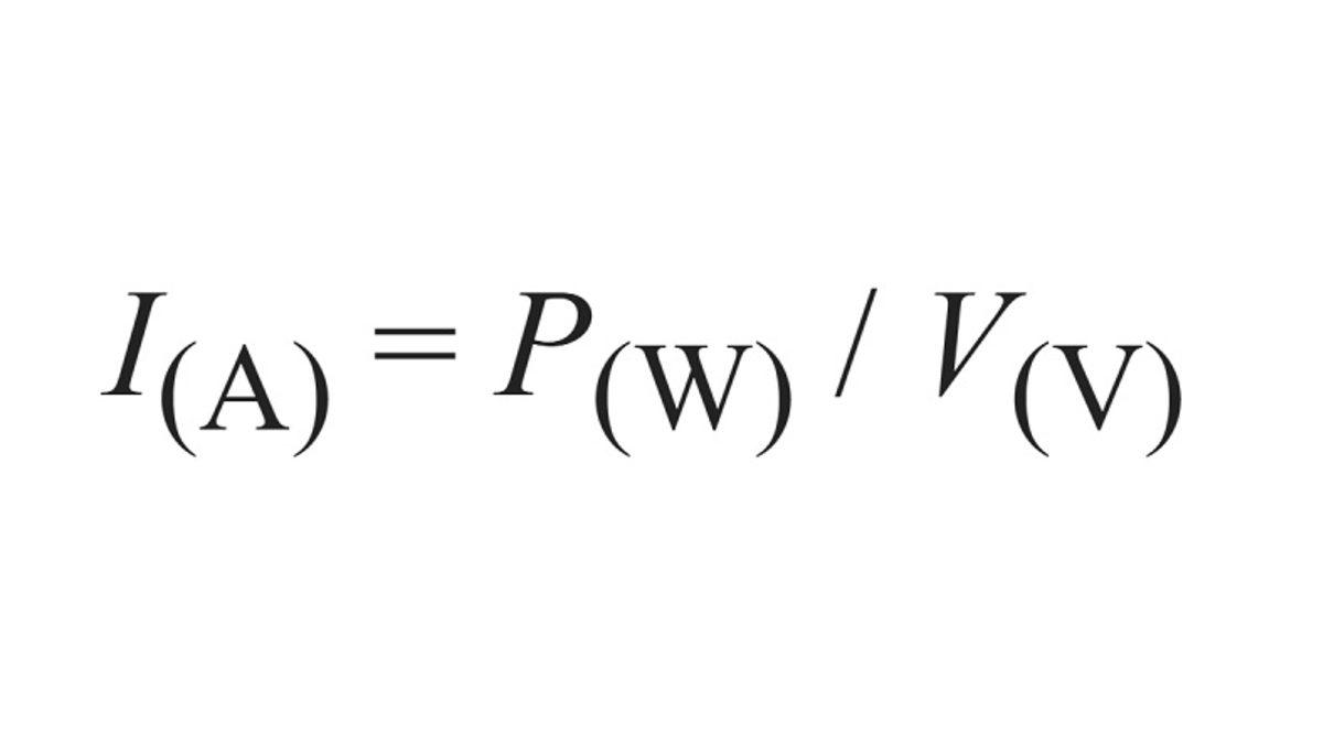
Yöntem #1: DC watt amper hesaplama:
- Adım #1: amper = watt / volt
- Adım #2: Güç tüketimi 330 watt olsun.
- Adım #3: Güç kaynağı 110 volt olsun.
- Adım #4: amper = 330 / 110
- Adım #5: amper = 3
- Adım #6: 3A olarak gösterilir.
- Adım #7: İşlem tamam.

Doğru akım kısaca DC olarak isimlendirilen akım türünde amper hesaplama işlemi için güç tüketim değeri olan watt ve güç kaynak değeri olan volt oranları bilinmelidir. Diğer iki yöntemde de bu oranlar bilinmeli ve buna göre hesaplama yapılmalıdır.
Yöntem #2: AC tek fazlı watt amper hesaplama:
- Adım #1: amper = watt / ( güç faktörü x volt )
- Adım #2: Güç tüketimi 330 watt olsun.
- Adım #3: Güç faktörü 0,8 olsun.
- Adım #4: Güç kaynağı ise 110 volt olsun.
- Adım #5: amper = 330 / ( 0,8 x 110 )
- Adım #6: amper = 3,75
- Adım #7: 3,75A olarak gösterilir.
- Adım #8: İşlem tamam.

Alternatif akım kısaca AC olarak adlandırılan akım türünün tek fazlı akımında amper hesaplama işlemi için formüle güç faktörü değeri de ekleniyor. Güç faktörü; enerji akışında aktif gücün, görünür güce olan oranını ifade eder. 0 ile 1 arasında bir değer alır.
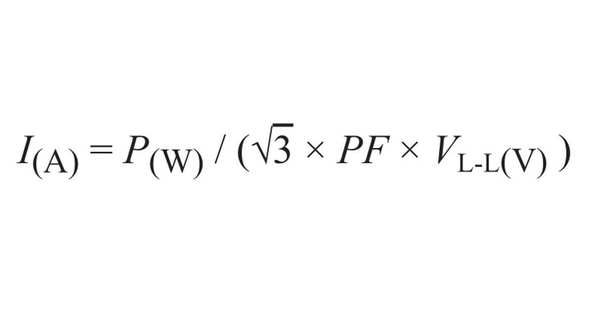
Yöntem #3: AC üç fazlı watt hattan hatta amper hesaplama:
- Adım #1: amper = watt / ( √3 x güç faktörü x volt )
- Adım #2: Güç tüketimi 330 watt olsun.
- Adım #3: Güç faktörü 0,8 olsun.
- Adım #4: Güç kaynağı ise 110 volt olsun.
- Adım #5: amper = 330 / ( √3 x 0,8 x 110 )
- Adım #6: amper = 2,165
- Adım #7: 2,165A olarak gösterilir.
- Adım #8: İşlem tamam.

Alternatif akım kısaca AC olarak adlandırılan akım türünün üç fazlı akımında hattan hatta amper hesaplama işlemi için formüle √3 değeri ekleniyor. Bunun nedeni akımın üç fazlı ve hattan hatta olması nedeniyle ortaya çıkan enerji değişimidir. Enerji değişimini ölçmek için karekök 3 ile işlemi genişletmek gerekiyor.
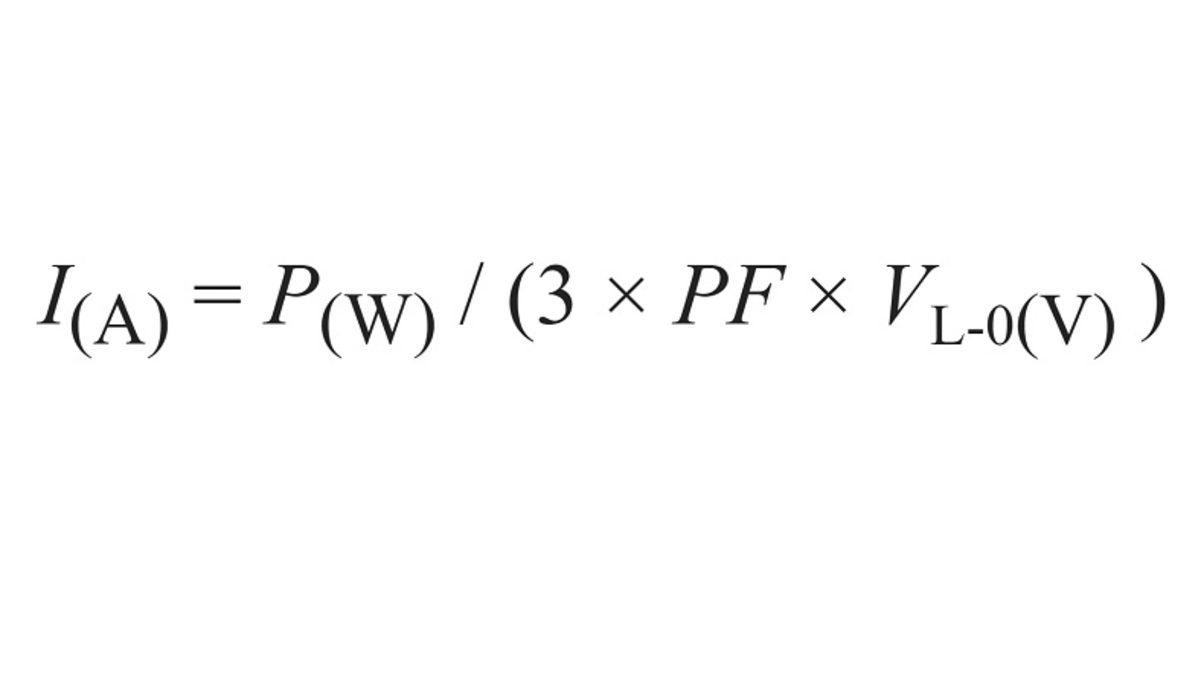
Yöntem #4: AC üç fazlı watt hattan nötr gerilime amper hesaplama:
- Adım #1: amper = watt / ( 3 x güç faktörü x volt )
- Adım #2: Güç tüketimi 330 watt olsun.
- Adım #3: Güç faktörü 0,8 olsun.
- Adım #4: Güç kaynağı ise 110 volt olsun.
- Adım #5: amper = 330 / ( 3 x 0,8 x 110 )
- Adım #6: amper = 1,25
- Adım #7: 1,25A olarak gösterilir.
- Adım #8: İşlem tamam.

Alternatif akım kısaca AC olarak adlandırılan akım türünün üç fazlı akımında hattan nötr gerilime amper hesaplama işlemi için formüle 3 değeri ekleniyor. 3 değeri, güç faktörü geriliminin hesaplanması için formüle ekleniyor.
Sizin için amper nedir, amper hesaplama nasıl yapılır sorularını yanıtladık ve bu işlem için kullanabileceğiniz formülleri anlattık. Karmaşık gibi görünse bile elinizde elektrik akımı ile ilgili temel veriler varsa formülde yerlerine yerleştirerek amper değerini kolayca bulabilirsiniz.
