Eski bir film ve daha öncesinde çok daha eski bir kitap olan “ The Hunt for Red October(Kızıl Ekim)” benzer bir araca sahipti. 1990 yapımı film, başlarda oldukça güzel olsa da sonrasında tipik bir Holywood yapımına dönüştüğünü söyleyebilirim. Filmin yazımız ile benzerlik gösteren kısma gelecek olursak, Rus balistik nükleer denizaltı aracı su içerisinde manyetik bir alanla seyahat ederek çok daha az ses çıkartıp Amerikanın radarına yakalanmadan ilerliyordu. ( Aslında bu tarz bir seyahat yöntemini kullanmak oldukça basit.)

İçerikten Görseller
Suyu itici bir güç olarak kullanan manyetohidrodinamik motorun küçük versiyonunu yapmak için sadece pil, mıknatıs ve kablo gerekiyor. Ayrıca şekildeki mantığın benzerini kullanarak oluşturacağınız, manyetik alan için suyun tuz içeriğine sahip olması gerekiyor. Sonrasında artı ve eksi yükle yüklediğiniz iyonların bulunduğu alana mıknatısın kuzey tarafını doğrulttuğunuzda itici bir güç kazanarak ileriye doğru ilerlemeye başlayabilirsiniz. Güney tarafını çevirdiğinizde ise geriye doğru gidebilirsiniz. Eğer bu deneyi bir kap içerisinde yaparsanız, kabın ortasında oluşacak vortexi gözlemleyebilirsiniz.

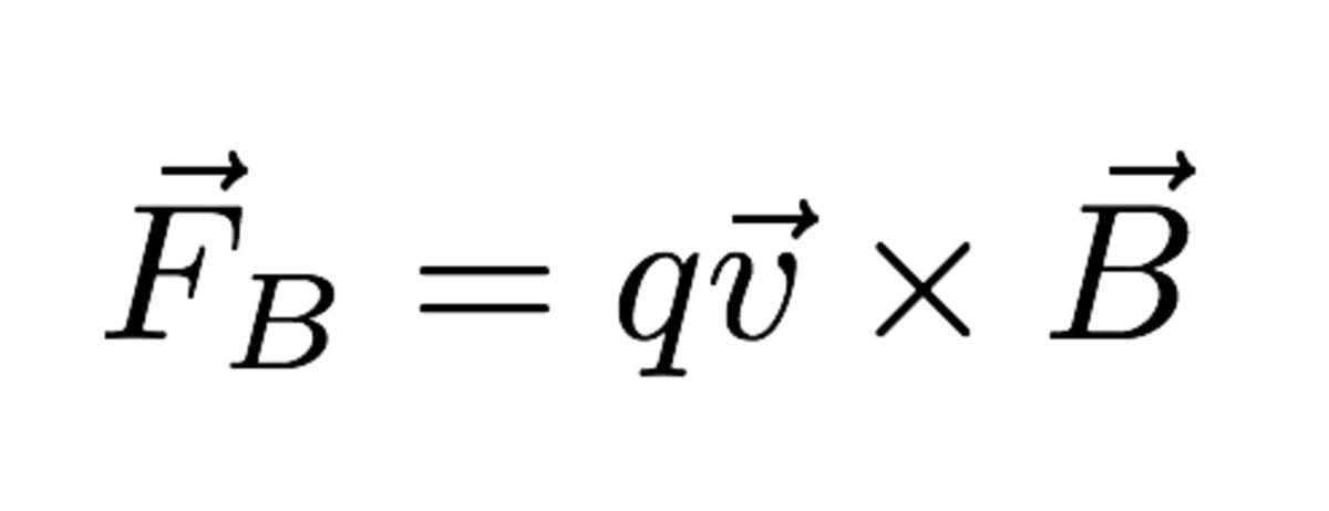
Yukarıda gördüğünüz formülle işin fizik kısmından bahsedecek olursak, bu denklemle ilgili bilmeniz gereken 4 şey bulunuyor. Öncelikle yukarıdaki okların vektör anlamına gelip yön ve büyüklük içeren değişkenlerin gösteriminde kullanıldığını hepimiz biliyoruz. “q” elektrik şarjı sembolü, “B” ise manyetik alanı temsil ediyor. “FB” sembolüde elektrik alan ve manyetik alan miktarlarının çarpımı sonrasında oluşan itme gücü anlamına geliyor. En basit formülü ile bu şekilde ifade edebiliriz. Ortaya çıkan başlangıç ve diğer vektörlerin büyüklüğüne bağlı olarak aracımız belli bir miktarda hız kazanabilir.
Bu sistem mantık olarak çalışıyor olsa da günümüzde kullanılmamasının tek sebebi, pervane kadar yüksek itiş gücü sağlamaması ve yüksek enerji tüketimine yol açması diyebiliriz. Ancak sizler bahsettiğimiz sistemi uygulayarak ufak bir fizik gösterisi yapabilirsiniz. Aşağıda paylaşmış olduğumuz gifi inceleyerek suya damlatılan mürekkebin hareketini gözlemleyebilirsiniz.

