Astronominin emekleme dönemlerinden günümüze, uzayla ilgilenenleri her zaman büyülemeyi başarmış olan Ay, dünyamızın gecelerini aydınlatıyor, üzerindeki çekim etkisiyle de günümüzün 24 saat sürmesine katkıda bulunuyor. Aynı zamanda gelgitleri bir bakıma kontrol eden uydumuz, bu gibi birçok özelliğiyle dünyadaki yaşamın devamlılığına katkıda bulunuyor.
Peki, bunca faydasıyla milyarlarca yıl dünyadaki düzene katkı sağlamış olan Ay, bir gün üzerimize doğru gelmeye başlasaydı ne olurdu? Baştan söyleyelim, kıyamet senaryolu filmlerde anlatıldığı gibi kocaman bir kaya yığını üzerimize düşmeyecek. Daha çok, üzerimize geldiği sırada etkileri o kadar kötü olacak ki “keşke düşse de bitse” diyeceksiniz.
Öncelikle aradan çıkarmamız gereken konu: Ay'ın Dünya'ya gelmesi neden imkânsız olarak görülüyor?

Astronomi alanının önde gelen isimlerinin açıklamalarına göre yörünge ve hız terimlerini kullanarak Ay’ı küçük bir topa benzetebiliriz. Normal şartlarda bir tenis topunu fırlattığımızda bir yörünge izler fakat havanın etkisiyle eninde sonunda yere düşer.
Fakat eğer yeterince hızlı fırlatılırsa teoride bu top, izlediği yörüngeyle birlikte size geri dönebilir. Yine de söylediğimiz gibi havanın yavaşlatıcı etkisi yüzünden topunuzu ne kadar hızlı fırlatırsanız fırlatın eninde sonunda düşecektir. Eğer hava olmasaydı, yavaşlamayacağından sonsuza kadar yörüngesinde kalacaktı.
Ay da dünyamızın etrafında fırlatılmış ve yörüngeye girmiş bir top gibi hızla dönüyor. Fakat uzayda hava gibi yavaşlatıcı bir etken olmadığından bu hızı koruyarak yörüngesinde kalabiliyor. Durduk yere yavaşlaması da pek mümkün olmadığından Ay’ın üzerimize gelmesi normal şartlarda pek olası değil diyebiliriz.
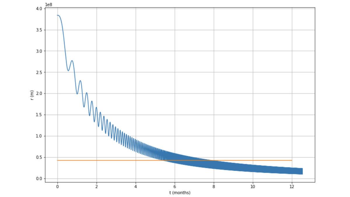
Biz yine de geldiğini düşünelim: Ay’ın bu hareketi başta fark edilmeyecek ve dünyamıza ulaşması tam 1 yıl alacak:

Prof. Matt Caplan’ın ‘Ay, Dünya’ya yaklaştıkça pozisyonunun nasıl değişeceğine’ dair yaptığı simülasyona dayalı olan bu bilginin devamında 12 ay içinde gerçekleşecek olan felaketlere de değiniliyor. Gelin, ilk birkaç haftadan 12’nci aya kadar neler değişecek ve her şey sona erdiğinde neler olacak birlikte bakalım.
İlk günlerde herhangi bir fark yok, Ay sadece her zamankinden biraz daha parlak

Ay’ın parlaklığına ek olarak gelgitler de dikkat çekiyor. Ay’ın kendi çekimiyle meydana gelen bu olay, her geçen gün dünyanın farklı kıyı bölgelerinde farklı şekilde hissediliyor. Dalgaların boyu her geçen gün daha da artıyor ve kıyı kesimlerde görülen bu durum pek de iyiye işaret etmiyor.
Bu bağlamda 1 ay içinde dalga boyları 4 metreyi görmüş olacak. Daha da kötüsü, yükselen bu dalgalar geri gitmeyecek. Aksine, her geçen gün daha da yükseliyor olacak. Fakat daha çarpışma(!) kısmına yaklaşmadık bile.
Daha ikinci aydayız fakat herkes şimdiden paniklemeye başladı:

Kıyı kesimlerde yaşayan insanlar, 10 metreye ulaşan deniz seviyesi sebebiyle iç kesimlere doğru gitmek zorunda kaldı. Fakat bu bir kurtuluş yolu değil. Çünkü nehir ve akarsu gibi su kaynakları, deniz seviyesinin yükselmesiyle hem kirlendi hem de taştı. Bu da iç kesimlerde de kimsenin güvenli olmadığına, taşkınların bir süre sonra şehirlere ulaşacağına işaret ediyor.
Artık benzin fiyatlarından endişe etmenize gerek yok, çünkü benzin kıtlığında benzin bulsanız bile yollar araba sürmeye elverişli değil:

Taşkınlar sebebiyle farklı tesisler artık başıboş kalmış durumda. Petrol rafinerileri, baz istasyonları ve zemindeki diğer tesisler deniz suyu sebebiyle artık kullanılamaz halde. Bu da internette, temel ihtiyaç karşılamada ve diğer birçok alanda sorun yaşanacak demek.
Şehirlerde vandallarla karşılaşmak mümkün. Hâlâ hayattaysanız, yüksek ihtimalle binaların çatısındasınız demektir.
Üçüncü aydan beşinci aya kadar yaşayacaklarımız: Sorunlarımızın en küçüğü olacak olan internete elveda diyelim

- Su altındaki internet kabloları
Üçüncü aya girmemizle birlikte Ay, yörüngedeki uydularımızın izlediği yolu çarpıtacak. Kendi yer çekimi yüzünden ortaya çıkan bu durum, iletişimi ortadan kaldıracaktır. Elbette az önce bahsettiğimiz gelgitin etkisi de zamanla büyümeye devam ediyor.
İkinci ayda 10 metreye ulaşan deniz seviyesi, dördüncü ayı takip eden birkaç hafta içerisinde 100 metreyi görecek. Bu da beşinci aya doğru daha da artacak ve binalarımız artık okyanus suları altında kalacak.
Okyanusların gösterisi bittiğine göre depremleri piste alalım:

“Ay üzerimize geliyor, deprem ne alaka?” diye düşünebilirsiniz. Fakat bu durum da Ay’ın çekim gücünden kaynaklanıyor. Yer çekiminin etkisiyle sıkıştırılan gezegenimizin zemininde çatlamalar meydana geliyor ve bu çatlaklar sadece büyük çaplı depremler oluşturmakla yetinmiyor.
Söz konusu sıkışma durumu yüzünden artık büyük etkiye sahip yanardağ patlamaları da görüyoruz.
Daha yılı anca yarıladık ve artık sabit duruyormuş gibi görünen bir uydumuz var
Artık Ay o kadar yakın ki Dünya’yı 24 saatte turlayabiliyor. Gezegenimiz de aynı süreyi kendi etrafında dönerken geçirdiğinden artık Dünya’nın sadece bir yarısına görünen bir Ay’ımız var. Bu sebeple Dünya’nın Ay’a bakan yüzünde okyanuslar şehirleri ele geçirmişken diğer yüzünde sular geri çekilmiş olacak.
Geldik aksiyonun asıl başladığı kısma: Yaklaştıkça hızlanan uydumuz şekil değiştiriyor

Dünya’nın yer çekimi kuvveti Ay’dakinden fazla olduğundan Ay’ın gezegenimize bakan kısmına, diğer tarafına nazaran daha çok çekim kuvveti uygulanıyor. Bu da Ay’ın, belli bir süre içinde, daha çok yumurtaya benzer bir şekil alacağı anlamına geliyor.
Dünyamız Ay’ın çekimi yüzünden nasıl depremlerle baş başa kaldıysa, Ay da aynı kaderi şekil değiştirirken yaşıyor.
Buna ek olarak Ay’ın, gezegenimizi artık 24 saatte turladığını söylemiştik. Sekizinci aydan itibaren bu hız daha da artacak ve daha yüksek çaplı depremlerle yanardağ patlamalarına yol açacak. Buradan çıkan dumanlar da güneş ışığının çok az bir miktarının gezegenimize ulaşmasına izin veriyor olacak.
Bu da adeta donacağız demek:

Güneş ışığının da azalması ve dumanların gökyüzünü sarmasıyla artık güçlü asit yağmurları kapıda olacak. Bu da bitkilerin adeta silineceği anlamına geliyor.
Hayal kırıklığına uğrattığımız için üzgünüz fakat Ay, Dünya’ya çarpmayacak. Ama iyi yanından bakalım, artık Satürn gibi halkalarımız var

Dünya’mızın diğer gezegenler gibi bir ‘Roche Limiti’ var. Bunu kabaca, bir gök cisminin kendisinden daha büyük bir gök cismine parçalanmadan yaklaşabileceği en yakın mesafe olarak tanımlayabiliriz.
Yani Ay bu limite ulaştığında Dünya’nın çekim gücü kendi yer çekiminden güçlü olacak ve bir süre sonra da yer çekimi Ay’ın parçalarını tutamayacağından Ay, parçalara ayrılacak. Bunun sonucunda da bu parçalar yörüngeye girecek ve tıpkı Satürn’de olduğu gibi halkalarımız olacak.
Maalesef bu noktaya kadar milyarlarca insan yaşamını yitirmiş olacak. Daha sonrasında medeniyet yeniden dirilir mi dirilmez mi bilemeyiz. Fakat halkaları olan bir Dünya’nın nasıl görüneceğini ve üzerinde yaşamın nasıl olacağını merak ediyorsanız bu konuyu işlediğimiz içeriğimize göz atabilirsiniz.
Kaynaklar: Kurzgesagt, Quora, Space.com

