Bildiğiniz gibi iki hafta önce Alper Gezeravcı, Uluslararası Uzay İstasyonu'na bir yolculuk gerçekleştirmişti.
Gezeravcı, Dünya'da olması gerekenden -çok çok az da olsa- daha az yaşlanmış olarak geri döndü. Peki bu durumun nedeni ne?
Gezeravcı, saniyenin tam yirmi binde biri daha az yaşlanmış olarak döndü.

İnsanlık olarak çok uzun bir süre zaman kavramını doğru düzgün anladığımız pek söylenemez zira tarihimiz boyunca alıştığımız bir zaman akış hızı var.
Bu akış hızını da uzun zamandır anlamaya çalışıyoruz. Antik Yunan zamanına dönersek bu konuyu ilk tartışan iki adam karşımıza çıkıyor. Günümüzde mermer büstlerinden tanıdığımız bu iki adamdan biri Herakleitos, diğeri de Parmenides.
Parmenides özetle diyor ki "Bir 'an'ı kesit olarak alırsan, hiçbir şeyin hareket etmediğini görürsün, yani hareket bir yanılsamadır."
Herakleitos ise diyor ki "Esas olan harekettir, her şey hareket eder; asıl yanılsama olan, hareketsizliktir. Bir cisim, belli referansa göre hareketsiz gözükse de zaman içerisinde ilerlemektedir."
Vay sen misin bunu diyen, Parmenides eline geçirdiği ilk parşömen tomarını Herakleitos'un kafasına geçirdiği gibi… Şaka şaka. Bu minvaldeki tartışmalarını efendi filozoflar gibi ilerletmişlerdir ama son noktayı, tartışmanın başına epey geç kalan Einstein koymuştur.
"Zaman genişlemesi" diye bir kavram ortaya atar Einstein.

Einstein der ki "Zaman görelidir." Peki ne demektir zamanın göreli olması? Uzay-zaman dümdüz değildir, kavislidir ve üzerindeki cisimlerin hızına ve kütlesine göre eğilip bükülür demektir.
Bu yüzden de konumumuza (çevremizdeki cisimlerin kütlesine) ve hızımıza bağlı olarak zamanı farklı algılayabiliriz.
Bu konuyla ilgili en çok verilen örnek ise ikizler paradoksudur.
30 yaşındaki ikizlerden biri, ışık hızının %99'u hızda hareket eden bir araca biner ve bir yıl yolculuk ederse geri döndüğünde Dünya'da 7 yıl geçmiş olacaktır.
Hız arttıkça aradaki bu makas da açılır. Bir diğer alternatif ise kütleçekimi çok olduğu için zamanın yavaşlamasıdır, örneğin kara deliklerin etrafında zaman çok daha yavaş bir şekilde akmaktadır.
Aslında göreliliği anlamak o kadar da zor değil.

Otobüs beklediğimizi varsayalım. Biz otobüsün durağa yaklaştığını görürken şoför de bizim ona yaklaştığımızı görür. Otobüse bindiğimizde yan şeritteki arabayla aynı hızda gidersek arabayı duruyor gibi görürüz. Duraktaki bir insana göre ise ikimiz de gitmekteyizdir. Olay aynıdır ama perspektif farklıdır. Bu durum dile bile etki etmiştir.
Bu farkın çok fazla olmaması aslında bugün bildiğimiz insan yaşamı için nimettir. Teknik olarak kafamız, ayaklarımızdan hızlı yaşlanıyor çünkü daha yukarıda. Ama Yüzüklerin Efendisi elfleri gibi birkaç bin yıl yaşasak bile aradaki bu fark saniyenin binde biri etmiyor. Ancak mesafeleri kozmik ölçeğe çevirdiğimiz zaman işin rengi değişiyor.
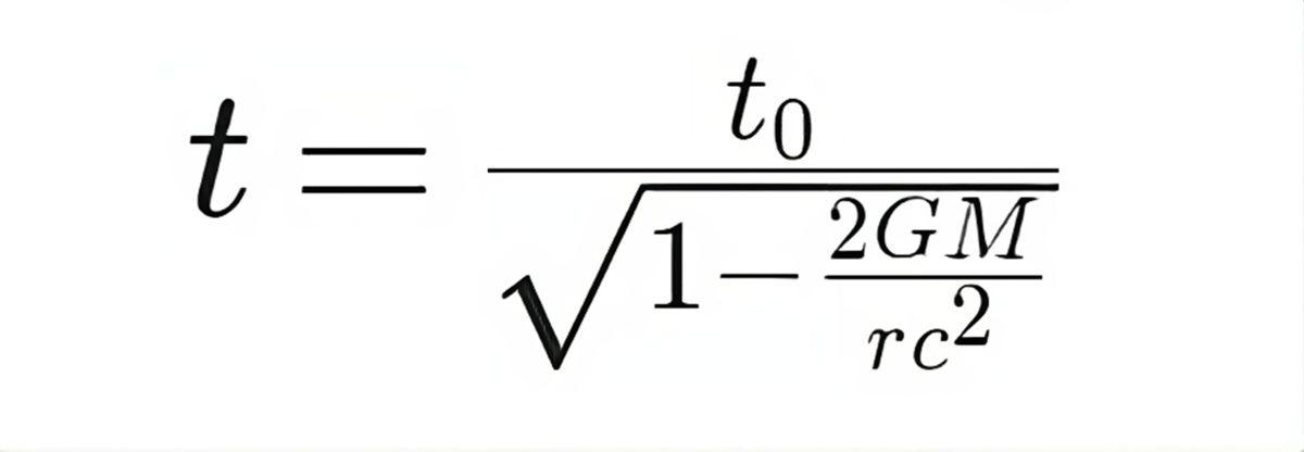
Kütleçekimsel zaman genişlemesi

Bu formülde t, herhangi bir kütleden çok çok uzakta olan bir cismin deneyimleyeceği süredir. G, kütleçekimi sabiti; M, cismin kütlesi; r, cismin merkezine olan uzaklık; C ise ışık hızıdır.
Bu formüle göre t cismi için geçen 1 saniye, Dünya'da 0,9999999993 saniye olarak algılanıyor. Bu oran, ISS'te de aynı. ISS eğer 400 değil de 1.021 km yükseklikte olsaydı 0,9999999994 saniye olarak bu algı değişecekti.
Hızsal zaman genişlemesi

Zaman genişlemesi dendiği zaman genelde hızsal zaman genişlemesi örnek gösterilir. Buradaki formülde delta t' sabit gözlemci için geçen zaman iken delta t ise hareket eden gözlemci için geçen zamandır. v hareket hızını, C ise ışık hızını temsil eder. Dünya için 1 saniye, ISS'teki pilotlara göre 0.9999999997 saniye gibidir.
Mesela Samanyolu Galaksisi'nin merkezindeki Sagittarius A* adlı kara deliğe gidelim:
| Mesafe | Etki |
|---|---|
| 1 ışık yılı | zaman 1.00000064 kat yavaşlar. |
| 1 astronomik birim | zaman %4 yavaşlar. |
| 1 milyon km | zaman 3.6 kat yavaşlar. |
| 1.000 km | zaman 110 kat yavaşlar. |
| 1 kilometre | zaman 350 kat yavaşlar. |
| 1 metre | zaman 100.000 kat yavaşlar. |
| 0 metre | zaman durur. |
Bugün Alper Gezeravcı belki de bir Interstellar yaşamadı ancak bu görelilik bilgisi olmasaydı navigasyon gibi pek çok teknolojiyi kullanamazdık, her şey her gün bambaşka yerlerde gözükürdü.
Gerçekten de insan, evreni yalnızca kendi gördüğüyle anlamaya çalıştığında bir yanılsamanın içerisinde kendini kandırarak yaşıyor, o yüzden bilimin kıymetini bilmek gerekiyor.



