Intel’in çok uzun süre tek başına piyasa koşullarını belirlediği işlemci pazarında artık AMD de ciddi bir rakip olduğunu kanıtladı. Firmanın son dönemde çıkardığı işlemciler, Intel’in ürünleriyle kıyasıya bir rekabet içerisinde. Rekabet alanlarından biri de HEDT olarak adlandırılan işlemciler.
AMD, bu pazarda dünyada bir ilk olan 64 çekirdekli HEDT işlemci Ryzen Threadripper 3990X’in tanıtımını yaptı. 128 iş parçacığı olan 288 MB kombine L2 ve L3 cache sahibi bu işlemci, hâlihazırda piyasanın en güçlülerinden olan atası 3970X’ten iki kat fazla çekirdeğe sahip.
İçerikten Görseller
HEDT nedir?

HEDT, tanım olarak 'high-end desktop' anlamına geliyor. Bu terimi terminolojiye kazandıran ise Intel olmuştu. HEDT işlemciler, teknoloji meraklılarına ve profesyonellere hitap ediyor. Bu hız canavarları, üst düzey cihazlarda kullanılmak için üretiliyor.
Ne yazık ki AMD bu işlemcinin yalnızca cache bilgilerini doğruladı. 280 W TDP olan işlemci, oldukça yüksek 'çekirdek/iş parçacığı' sayısına sahip. Yeni işlemci muhtemelen AMD’nin TRX40 anakart platformu için çıkarılacak. Bu platform, tek soketli HEDT işlemciler için en yüksek tek soketli anakart olarak biliniyor.
Hepsine hükmedecek tek bir işlemci: Ryzen Threadripper 3990X

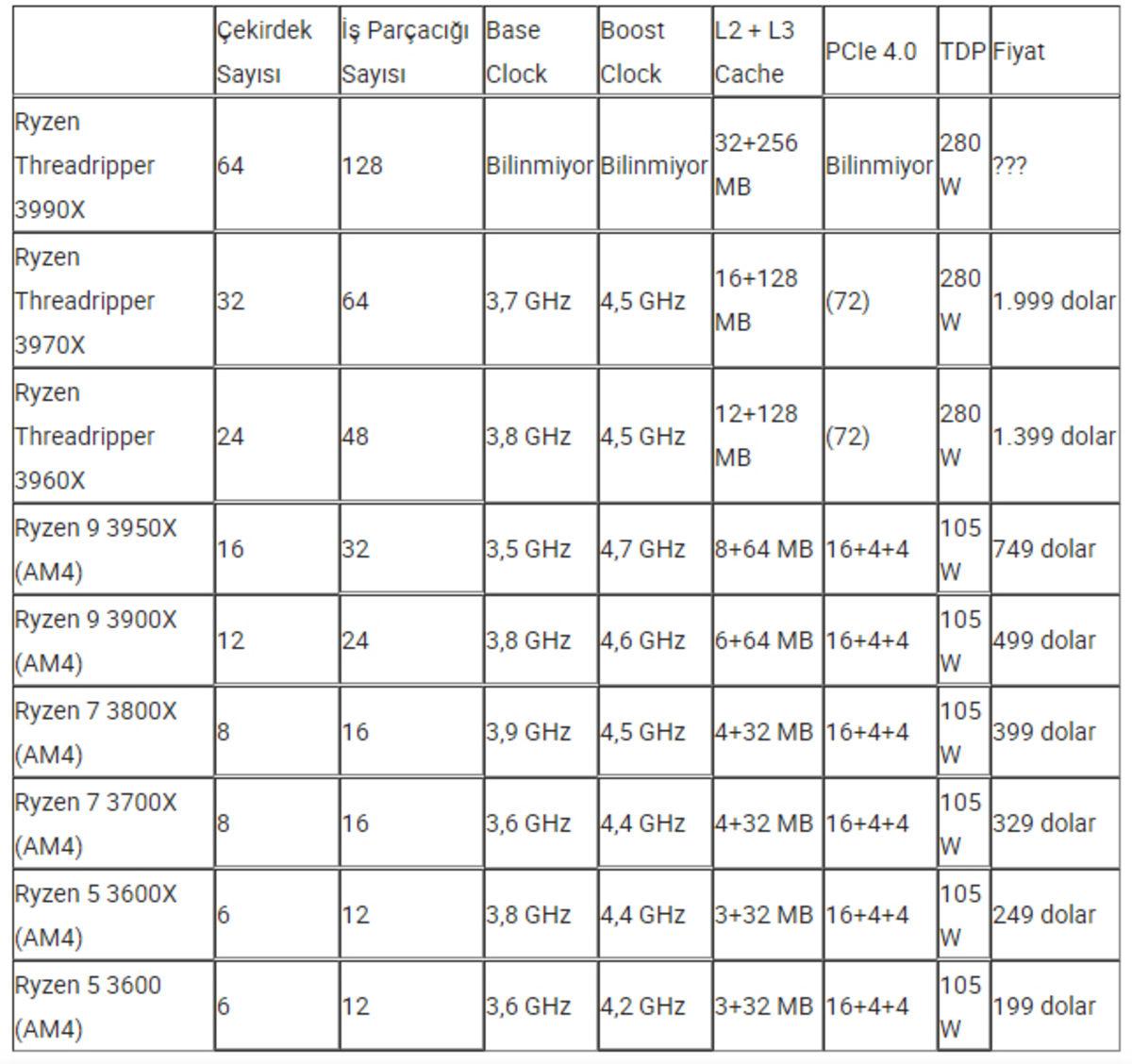
Yüzüklerin Efendisi’nden alıntı yaparak “Hepsine hükmedecek tek bir işlemci” sloganını kullanan firma, yeni tanıttığı işlemci ile adeta gövde gösterisi yaptı. Duyurusu yapılan tek işlemci olmasına rağmen AMD’nin isimlendirme tarzı muhtemelen 48 çekirdekli bir **Ryzen Threadripper 3980X’**in geliştirme aşamasında olduğunu düşündürüyor. AMD'nin bu segmentteki işlemcilerini aşağıdaki tablodan karşılaştırabilirsiniz.

Ryzen Threadripper 3990X’te bir önceki versiyondan farklı olarak 4 adet sekiz çekirdekli yonga seti yerine 8 adet 8 çekirdekli yonga seti kullanılıyor. İşlemcinin mimarisi, diğer Threadripper modelleri gibi 12 nm olacak.
AMD, 2020 yılında daha fazla haber alacağımızı söylüyor. Bu da akıllara 3990X’in insanların karşısına ilk olarak CES 2020’de çıkacağı ihtimalini getiriyor. Bakalım Intel o zamana kadar bu işlemciye karşılık verebilecek mi?
