Çin'de hizmet vermekte olan Fudan Üniversitesi ile Cambridge Üniversitesi bünyesinde çalışmalarını sürdüren bir grup bilim insanı, hayatın en önemli unsurlarından bir tanesi olan uyku ile ilgili geniş kapsamlı bir araştırma gerçekleştirdi. Birleşik Krallık'ta 38-73 yaş aralığındaki tam 498.277 kişinin katılımıyla gerçekleştirilen araştırma kapsamında bir insanın optimal uyku süresinin 7 saat civarında olduğu sonucuna ulaşıldı. 7 saatten az uyumak da çok uyumak da insan sağlığını olumsuz etkiliyor.
Araştırma kapsamında 157.000 kişiye ruh sağlığı anketi uygulandı. Ayrıca 48.500 katılımcı uyku sırasında beyin takibine alındı. Elde ettikleri tüm verileri bir araya getiren bilim insanları, uyku süresi ile sağlık arasında "U" harfi şeklinde bir bağlantı tespit ettiler. 7 saatlik uyku süresi, bu U harfinde her zaman en uygun noktaya denk gelmişti. Ancak uzmanlar bu araştırmanın gözlemsel olduğunu, 7 saatten az veya çok uyumanın kesinlikle sağlık sorunlarına yol açacağı şeklinde net bir ifade kullanmanın doğru olmadığını belirtiyorlar.
İdeal uyku süresinde beyin yapısı ve genetik yapı da etkili

Bilim insanlarına göre bir insanın hem fiziksel hem de ruhsal anlamda sağlıklı olabilmesinde uyku süresi çok önemli. Ancak bununla birlikte bireylerin beyin ile genetik yapıları da önemli. Bilim insanları, optimal uyku süresinin her insan için değişken olabileceğini, bu araştırmanın genel bir ortalamayı temsil ettiğini belirtiyor. Peki uyku süresi 7 saatin altına düştükçe ve üzerine çıktıkça vücutta ne gibi problemler yaşanıyor?

Yukarıdaki tabloda uyku süresi ile bilişsel işlevlerin, yani beyninizin işlevleri arasındaki bağlantıyı görüyorsunuz. Örneğin sayısal hafıza, 7 saatlik uykuda maksimum performans gösteriyor. Benzer bir şekilde problem çözme yeteneğiniz de 7 saatlik uyku periyotlarında en iyi durumda oluyor. Öte yandan; beynin reaksiyon verme süresi de 7 saatlik uykuda düşük oluyor.

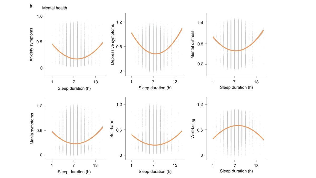
Yukarıdaki tabloda ise uyku süresi ile mental sağlık arasındaki ilişkileri görüyoruz. Anksiyete semptomları, 7 saatlik uykuda minimal düzeyde oluyor. Dinginliğinizin en yüksek olduğu uyku süresi de yine 7 saat olarak karşımıza çıkıyor. Gördüğünüz gibi; 7 saatlik uyku U ilişkisinin her zaman en verimli noktasına denk geliyor.

